Dalam ilmu fisika, pengukuran merupakan sebuah materi yang diajarkan dalam kelas 10 SMA/MA/SMK/MAK. Sedangkan saat universitas, pengukuran ialah salah satu mata kuliah dasar fisika yang dilaksanakan untuk membuktikan atau menguji suatu materi atau sebuah rumus, contohnya adalah pemantulan cahaya, viskositas, listrik, magnet dan lain sebagainya.
Selain itu manfaat pengukuran dalam kehidupan sehari-hari, banyak digunakan pada banyak bidang profesi, seperti pengukuran yang dilakukan oleh tukang jahit ketika mengukur pelanggan dan memotong kain, seorang tukang kayu yang mengukur bahan-bahan bangunan yang akan digunakan, bahkan kita sendiri juga sangat seringmengukur seperti mengukur tinggi badan, dan menimbang berat badan.
Lalu muncul pertanyaan, apakah yang dimaksud pengukuran itu? Bagi kalian yang ingin mengetahui tentang pembahasan lengkapnya bisa disimak berikut ini.
Pengertian Pengukuran Secara Umum
Pengukuran merupakan proses untuk mendapatkan informasi besaran fisis yang diukur. Dalam percobaan di laboratorium seorang praktikan harus bisa menyimpulkan suatu percobaan berdasarkan data yang diperoleh. Oleh karena itu praktikan harus memiliki data yang benar-benar valid. Untuk memperoleh data yang valid atau benar praktikan harus melakukan eksperimen tidak hanya sekali agar memperoleh data yang akurat dan presisi.
Sebelumnya kita harus mengetahui terlebih dahulu perbedaan antara akurasi dan presisi. Suatu alat ukur dikatakan tepat jika mempunyai akurasi yang baik, yaitu hasil ukur menunjukkan ketidakpastian yang kecil. Keakuratan sebuah eksperimen diukur dari seberapa dekat hasil ukur dengan nilai sebenarnya. Dalam hal ini sebelum sebuah alat ukur digunakan, harus dipastikan bahwa kondisi alat sudah dalam keadaan terkalibrasi dengan baik. Kalibrasi yang buruk akan menyebabkan kesalahan dalam pengukuran yaitu hasil pengukuran yang tidak tepat dengan hasil yang sebenarnya sebesar kesalahan dalam kalibrasi tersebut. Sedangkan sebuah alat ukur dikatakan presisi jika untuk pengukuran besaran fisis tertentu yang diulang maka alat ukur tersebut mampu menghasilkan hasil ukur yang sama seperti sebelumnya. Kepresisian eksperimen diukur dari seberapa baik hasil yang ditetapkan, tanpa referensi yang sesuai dengan nilai sebenarnya.
Pengertian Pengukuran Menurut Para Ahli
- Alwasilah et al.(1996), measurement (pengukuran) merupakan proses yang mendeskripsikan performa siswa dengan menggunakan suatu skala kuantitatif (sistem angka) sedemikian rupa sehingga sifat kualitatif dari performa siswa tersebut dinyatakan dengan angka-angka
- Arikunto dan Jabar (2004) menyatakan pengertian pengukuran (measurement) sebagai kegiatan membandingkan suatu hal dengan satuan ukuran tertentu sehingga sifatnya menjadi kuantitatif.
- Cangelosi, James S. (1995), pengukuran adalah proses pengumpulan data secara empiris yang digunakan untuk mengumpulkan informasi yang relevan dengan tujuan yang telah ditentukan.
- Sridadi (2007) pengukuran adalah suatu prose yang dilakukan secara sistematis untuk memperoleh besaran kuantitatif dari suatu obyek tertentu dengan menggunakan alat ukur yang baku.
Fungsi Pengukuran
Secara sederhana sebenarnya kegiatan pengukuran yang kita lakukan itu berfungsi sebagai alat komunikasi. Komunikasi disini bisa juga diartikan secara luas, contohnya komunikasi antara penjual dengan pembeli. Di dalam suatu perusahaan manufakture,pengukuran sangatlah penting, karena segala sesuatu yang menjadi parameter dari suatu produk yang kita hasilkan tidak lepas dari angka angka yang hanya bisa di dapatkan melalui proses pengukuran.
Klasifikasi Pengukuran Dalam Ilmu Fisika
Geometris obyek ukur mempunyai bentuk yang beracam-macam. Oleh karena itu, cara mengukur pun bisa bermacam-macam. Agar hasil pengukurannya mendapatkan hasil yang paling baik menurut standart yang berlaku maka diperlukan cara pengukuran yang tepat dan benar. Untuk itu perlu diketahui klasifikasi dari pengukuran. Ada beberapa pengukuran berdasarkan cara pengukuran yang bisa dilakukan untuk mengukur geometris obyek ukur, yaitu:
Pengukuran Berdasarkan Geometris Obyek Ukur
-
Pengukuran Langsung
Proses pengukuran yang hasil pengukurannya dapat dibaca langsung dari alat ukur yang digunakan disebut dengan pengukuran langsung. Contoh : mengukur diameter poros dengan jangka sorong atau mikrometer.
-
Pengukuran Tak Langsung
Bila dalam proses pengukuran tidak bisa digunakan satu alat ukur saja dan tidak bisa dibaca langsung dari hasil pengukurannya, maka pengukuran yang demikian ini disebut pengukuran tak langsung. Kadang-kadang untuk mengukur satu benda ukur diperlukan dua atau tiga buah alat ukur standar, alat ukur pembanding dan alat ukur pembantu. Contoh: Pengukuran ketirusan poros dengan menggunakan senter sinus (sine center) yang harus dibantu dengan jam ukur(dial indikator) dan blok ukur.
-
Pengukuran dengan Kaliber Batas
Kadang-kadang dalam proses pengukuran kita tidak perlu melihat bebeapa besar ukuran benda yang dibuat melainkan hanya untuk melihat apakah benda yang dibuat masih dalam batas-batas toleransi tertentu. Contoh : Mengukur diameter lubang. Dengan menggunakan alat ukur jenis kaliber batas dapat ditentukan apakah benda yang dibuat masuk kedalam kategori diterima (GO) atau masuk dalam kategori dibuang atau ditolak (No.Go). Dengan demikian sudah tentu alat yang digunakan untuk pengecekannya adalah kaliber batas Go dan No Go. Pengukuran seperti ini disebut pengukuran dengan kaliber batas. Keputusan yang diambil adalah dimensi yang masih dalam batas toleransi dianggap baik dan dipakai, sedang dimensi yang terletak diluar batas toleransi dianggap jelek. Pengukuran cara ini tepat sekali untuk pengukuran dalam jumlah banyak dan membutuhkan waktu yang cepat.
-
Pengukuran dengan Perbandingan Bentuk Standart
Pengukuran di sini sifatnya hanya membandingkan bentuk benda yang dibuat dengan bentuk standar yang memang digunakan untuk alat pembanding. Contoh: Kita akan mengecek sudut ulir atau roda gigi , mengecek sudut tirus dari poros konis, mengecek radius dan sebagainya. Pengukuran dulakukan dengan alat proyeksi. Jadi disini sifatnya tidak membaca besarnya ukuran tatapi mencocokkan bentuk saja . Misalnya sudut ulir dicek dengan mal ulir atau pengecek ulir lainnya.
Pengukuran Berdasarkan Cara Mengukur
-
Pengukuran tunggal
Pengukuran tunggal adalah pengukuran yang dilakukan hanya satu kali saja.Dalam pengukuran tunggal, nilai benar (x0) adalah nilai pengukuran itu sendiri. Jika diperhatikan, setiap alat ukur atau instrumen mempunyai skala yang berdekatan yang disebut skala terkecil. Nilai ketidakpastian (Δx) pada pengukuran tunggal diperhitungkan dari skala terkecil alat ukur yang dipakai.Nilai dari ketidakpastian pada pengukuran tunggal adalah setengah dari skala terkecil pada alat ukur. Pengukuran tunggal yaitu suatu pengukuran yang hanya dilakukan sekali saja. Pada umumnya pengukurann tunggal jika besaran yang diukur tidak berubah-ubah sehingga hasilnya dapat diukur dengan akurat. Akan tetapi, pengukuran ini memiliki kekurangan yaitu dalam pengukuran tunggal memberikan hasil yang kurang teliti karena pengukurannya hanya dilakukan sekali saja. Contoh dari pengukuran tunggal yaitu pengukuran yang dilakukan pada objek pensil.
Pengukuran tunggal biasanya dilakukan ketika kesempatan untuk melakukan pengukuran hanya datang sekali saja sehingga tidak memungkinkan untuk mengukur berulang. Ketidakpastian dalam pengukuran tunggal dapat ditentukan dari setengah skala terkecil dari alat ukur yang digunakan. Secara sisematis dapat ditulis sebagai berikut:
-
Pengukuran Berulang
Sedangkan pengukuran berulang merupakan pengukuran yang dapat dilakukan dengan berulang-ulang. Pada umumnya pengukuran berulang digunakan untuk mengukur sesuatu yang sering kali hasilnya terdapat perbedaan jika diukur pada bagian yang berbeda. Kelebihan dari pengukuran berulang yaitu apabila dibandingkan dengan pengukuran tunggal maka pengukuran berulang lebih mendekati nilai sebenarnya. Karena ketidakpastian pada pengukuran berulang lebih sedikit apabila dibandingkan dengan ketidakpastian pengukuran tunggal.
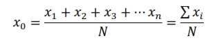
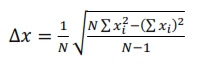
Pada pengukuran berulang ini nilai x dapat ditentukan dari nilai sampel. Misalnya dari suatu besaran fisis yang diukur dengan N kali pada kondisi yang sama, serta diperoleh hasil pengukuran X1, X2, X3,…, Xn. Sedangkan ketidakpastian ∆x dapat dinyatakan dengan simpangan baku nilai rata-rata sampel.
Selain dari pengukuran tunggal, pengukuran besaran juga dilakukan secara berulang kali (2 atau 3 kali saja) dan pengulangan lebih dari 3 kali. Hal ini dilakukan untuk mendapatkan nilai terbaik dari pengukuran tersebut.Dengan demikian, pengukuran berulang adalah pengukuran yang dilakukan beberapa kali atau berulang-ulang (2 atau 3 kali dan lebih dari 3 kali). Dalam pengukuran berulang, pengganti nilai benar adalah nilai rata-rata dari hasil pengukuran. Jika suatu besaran fisis diukur sebanyak N kali, maka nilai rata-rata dari pengukuran tersebut dihitung.











